Ответы
Ответ дал:
0
Ответ:
Пошаговое объяснение:
во вложенном файле
Приложения:

Аноним:
Совокупность, объединение решений. Не система.
Ответ дал:
0
Ответ:
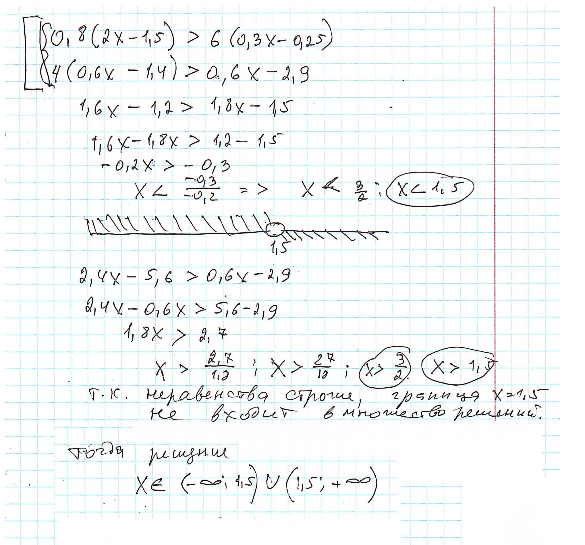
x∈(-∞; 1.5) ∪ (1,5; ∞)
Пошаговое объяснение:
0,8(2x-1.5) > 6 (0.3x-0,25)
4( 0.6x-1.4) > 0.6x-2.9
1.6x-1.2 > 1.8x-1.5
2.4x-5.6 > 0.6x-2.9
1.6x-1.8x > -1.5+1.2
2.4x-0.6x > -2.9+5.6
-0.2x > -0.3
1.8x >2.7
0.2x < 0.3
1.8x >2.7
x<3/2
x> 3/2
x< 1 .5
x> 1.5
x∈(-∞; 1.5) ∪(1,5; ∞)
Вас заинтересует
2 года назад
3 года назад
8 лет назад
8 лет назад
9 лет назад