• Предмет: Математика
  • Автор: alekperovazemfira04
  • Вопрос задан 8 лет назад

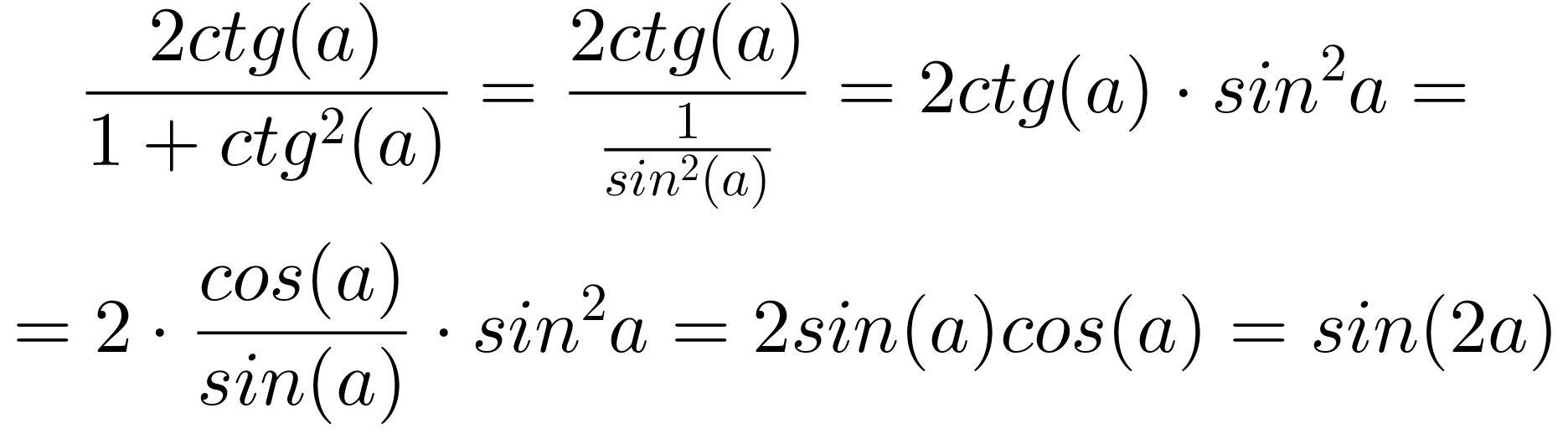
Упростить: 2ctga / 1 + ctg²a​

Ответы

Ответ дал: teacher1011
2

Ответ:

sin(2a)

Пошаговое объяснение:

Если не сразу понятен первый переход в знаминателе, то:

1+ctg^2(a)=1+\frac{cos^2(a)}{sin^2(a)}=\frac{sin^2(a)+cos^2(a)}{sin^2(a)}=\big[sin^2(a)+cos^2(a)=1\big]=\frac{1}{sin^2(a)}

Приложения:
Вас заинтересует