помогите пожалуйста срочно
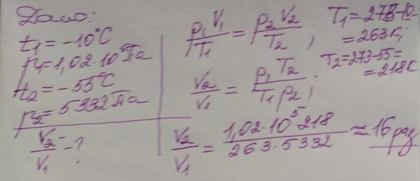
определите во сколько раз увеличится объем оболочки стратостата при подъеме если температура при старте была -10 С давление 1,02*10^5па на высоте 22км температура стала -55 Са давление 5332 па
Ответы
Ответ дал:
0
Відповідь:
Пояснення:
Приложения:
Вас заинтересует
2 года назад
2 года назад
3 года назад
3 года назад
9 лет назад
9 лет назад
10 лет назад
10 лет назад