Ответы
Ответ дал:
1
Відповідь:
Пояснення:
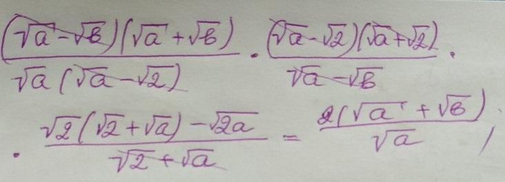
Приложения:


ohshitherewegoagainn:
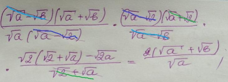
интересно, как ты сократил ✓а-✓b на ✓а-✓2
Вас заинтересует
2 года назад
2 года назад
8 лет назад
9 лет назад