• Предмет: Алгебра
  • Автор: cyutuber
  • Вопрос задан 8 лет назад

Упростите выражения:

Приложения:

Ответы

Ответ дал: Universalka
3

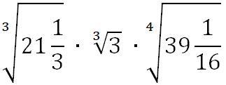
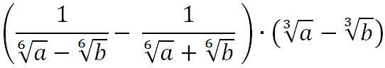
1)\sqrt[3]{21\dfrac{1}{3} }\cdot\sqrt[3]{3} \cdot\sqrt[4]{39\dfrac{1}{16} }=\sqrt[3]{\dfrac{64}{3}\cdot3 } \cdot\sqrt[4]{\dfrac{625}{16} }=\sqrt[3]{4^{3} }\cdot\sqrt[4]{\Big(\dfrac{5}{2} \Big)^{4} }=4\cdot\dfrac{5}{2}=\boxed{10}\\\\\\2)\Big(\dfrac{1}{\sqrt[6]{a}-\sqrt[6]{b}}-\dfrac{1}{\sqrt[6]{a}+\sqrt[6]{b}}\Big)\cdot\Big(\sqrt[3]{a}-\sqrt[3]{b}\Big)=

=\dfrac{\sqrt[6]{a} +\sqrt[6]{b}-\sqrt[6]{a}+\sqrt[6]{b}}{(\sqrt[6]{a}-\sqrt[6]{b})(\sqrt[6]{a}+\sqrt[6]{b})}\cdot\Big(\sqrt[3]{a}-\sqrt[3]{b}\Big)=\dfrac{2\sqrt[6]{b} }{(\sqrt[6]{a})^{2}-(\sqrt[6]{b} )^{2}}\cdot \Big(\sqrt[3]{a}-\sqrt[3]{b}\Big)=\\\\=\dfrac{2\sqrt[6]{b} }{\sqrt[3]{a}-\sqrt[3]{b}}\cdot\Big(\sqrt[3]{a}-\sqrt[3]{b}\Big)=\boxed{2\sqrt[6]{b}}

3)\dfrac{\sqrt[4]{48} }{\sqrt[4]{3} }\cdot\sqrt[3]{-3\dfrac{3}{8} }:\dfrac{\sqrt[3]{-216} }{\sqrt[10]{1024} }=\sqrt[4]{\dfrac{48}{3} }\cdot\sqrt[3]{-\dfrac{27}{8} }\cdot\dfrac{\sqrt[10]{1024} }{\sqrt[3]{-216} } =\\\\=\sqrt[4]{2^{4} }\cdot\sqrt[3]{\Big(-\dfrac{3}{2}\Big)^{3}}\cdot \dfrac{\sqrt[10]{2^{10} } }{\sqrt[3]{(-6)^{3}}}=2\cdot \Big(-\dfrac{3}{2}\Big)\cdot\dfrac{2}{-6}=\boxed1


cyutuber: спасибо!
Universalka: Пожалуйста
Ответ дал: bearcab
1

Ответ:

10

2\sqrt[6]{b}

1

Объяснение:

1)

\sqrt[3]{21\frac{1}{3}}*\sqrt[3]{3}*\sqrt[4]{39\frac{1}{16}}=\sqrt[3]{\frac{64}{3}}\sqrt[3]{3}\sqrt[4]{\frac{39*16+1}{16}}=\sqrt[3]{(\frac{64}{3}*3)}\sqrt[4]{\frac{625}{16}}=\sqrt[3]{64}\sqrt[4]{\frac{5^4}{2^4}}=\\=4*\frac{5}{2}=10

2) (\frac{1}{\sqrt[6]{a}-\sqrt[6]{b}}-\frac{1}{\sqrt[6]{a}+\sqrt[6]{b}})(\sqrt[3]{a}-\sqrt[3]{b})=\frac{\sqrt[6]{a}+\sqrt[6]{b}-(\sqrt[6]{a}-\sqrt[6]{b})}{(\sqrt[6]{a}+\sqrt[6]{b})*(\sqrt[6]{a}-\sqrt[6]{b})}(\sqrt[3]{a}-\sqrt[3]{b})=

=\frac{2\sqrt[6]{b}}{\sqrt[3]{a}-\sqrt[3]{b}}(\sqrt[3]{a}-\sqrt[3]{b})=2\sqrt[6]{b}

3)

\frac{\sqrt[4]{48}}{\sqrt[4]{3}}*\sqrt[3]{-3\frac{3}{8}}:\frac{\sqrt[3]{-216} }{\sqrt[10]{1024}} =\sqrt[4]{\frac{48}{3}}*\sqrt[3]{-\frac{3*8+3}{8}}:\frac{\sqrt[3]{-(6)^3}}{\sqrt[10]{2^{10}}}=\sqrt[4]{16}*\sqrt[3]{-\frac{27}{8}} :\frac{(-6)}{2}=\\\\=2*\sqrt[3]{-\frac{3^3}{2^3}}:(-3)=2*(-\frac{3}{2})*(-\frac{1}{3})=-3*(-\frac{1}{3})=1


Universalka: Допишите решение третьего задания
Вас заинтересует