Ответы
Ответ дал:
1
Ответ: 10.
Объяснение:
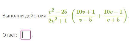
(v²-25)/(2v²+1)((10v+1)/(v-5) + (10v-1)/(v+5))=
=(v²-25)/(2v²+1)(v+5)(10v+1)+(v-5(10v-1))=
=(v²-25)/(2v²+1)(10v²+50v+v+5+10v²-50v-v+5)/(v²-25) = (20v²+10)/(2v²+1)=10.
Ответ дал:
1
Ответ:
объяснение на картинке
2×5=10
....
Приложения:

Вас заинтересует
2 года назад
3 года назад
3 года назад
8 лет назад
9 лет назад