• Предмет: Математика
  • Автор: usudhdudjjd
  • Вопрос задан 8 лет назад

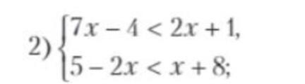
СРОЧНО!!!УКАЖИТЕ НАИБОЛЬШЕЕ ЦЕЛОЕ РЕШЕНИЕ СИСТЕМЫ!!!ДАЮ 35 БАЛЛОВ

Приложения:

Ответы

Ответ дал: xacku2020
0

Ответ:

0

Пошаговое объяснение:

1)7x-4<2x+1

7x-2x<1+4

5x<5

x<1

2)5-2x<x+8

-3x<3 |:(-3)<0

x>-1

3 ) ___(-1)XXXXXXXXXX(1)____

Между ними целое только 0

Ответ дал: zinaidazina
0

\left \{ {{7x-4&lt;2x+1} \atop {5-2x&lt;x+8}} \right.

\left \{ {{7x-2x&lt;4+1} \atop {-x-2x&lt;8-5}} \right.

\left \{ {{5x&lt;5} \atop {-3x&lt;3}} \right.

\left \{ {{5x:5&lt;5:5} \atop {-3x:(-3)&gt;3:(-3)}} \right.

\left \{ {{x&lt;1} \atop {x&gt;-1}} \right.

-1&lt;x&lt;1

x(-1;1)

x=0  ЭТО НАИБОЛЬШЕЕ ЦЕЛОЕ РЕШЕНИЕ СИСТЕМЫ.

ОТВЕТ: 0

Вас заинтересует