• Предмет: Математика
  • Автор: hftjhfukh
  • Вопрос задан 8 лет назад

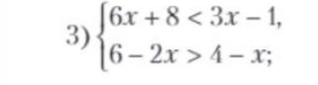
СРОЧНО!!!УКАЖИТЕ НАИБОЛЬШЕЕ ЦЕЛОЕ РЕШЕНИЕ СИСТЕМЫ!!!ДАЮ 35 БАЛЛОВ

Приложения:

drkora12: 6x +8 < 3x - 1 6 2x>4- х -

6x +8< x-1 +6>4- x

6x +8 < x +5>4-х
Sanya2263: х=1 наибольшее
xacku2020: х=1 наибольшее если его поставить в неравенството получися 14<2 аэто неверно
Sanya2263: Не с тем знаком решил, походу. Извиняюсь

Ответы

Ответ дал: xacku2020
0

Ответ:

-4

Пошаговое объяснение:

1) 6x+8<3x-1

3x<-9 |:3

x<-3

2)6-2x>4-x

-1x>-2 |:(-1)<0

x<2

3)   XXXXXXXXX(-4)XXXX(-3)\\\\\\\\\\\\\\\\(2)

(-∞;-3), НАИБОЛЬШЕЕ ЦЕЛОЕ РЕШЕНИЕ   -4

Вас заинтересует