• Предмет: Математика
  • Автор: romanvolkov509
  • Вопрос задан 8 лет назад

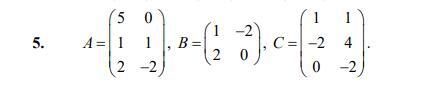
найти матрицу D = AB-2C
С подробным решением

Приложения:

Ответы

Ответ дал: 25hjoerf10
1

Ответ:

             \left(\begin{array}{ccc}7&-8\\-1&6\\-2&-8\end{array}\right)

Пошаговое объяснение:

D = AB - 2C

D=\left(\begin{array}{ccc}5&0\\1&1\\2&-2\end{array}\right) \cdot \left(\begin{array}{ccc}1&-2\\2&0\end{array}\right)-2 \cdot \left(\begin{array}{ccc}1&1\\-2&4\\0&-2\end{array}\right)=\\\\\\=\left(\begin{array}{ccc}5 \cdot 1 \: + \:  0 \cdot 2 &5 \cdot (-2) \: +\: 0 \cdot 0 \\1 \cdot 1 \: +\:  1 \cdot 2  &1 \cdot (-2) \: +\: 1 \cdot 0\\ 2 \cdot 1 \: +\: (-2) \cdot 2& 2 \cdot (-2) \: +\: (-2) \cdot 0\end{array}\right) -\left(\begin{array}{ccc}-2&-2\\4&-8\\0&4\end{array}\right) =

=\left(\begin{array}{ccc}5&-10\\3&-2\\-2&-4\end{array}\right) -\left(\begin{array}{ccc}-2&-2\\4&-8\\0&4\end{array}\right) =\left(\begin{array}{ccc}5+2&-10+2\\3-4&-2+8\\-2-0&-4-4\end{array}\right) =\left(\begin{array}{ccc}7&-8\\-1&6\\-2&-8\end{array}\right)

Вас заинтересует