• Предмет: Математика
  • Автор: kiusupov16
  • Вопрос задан 8 лет назад

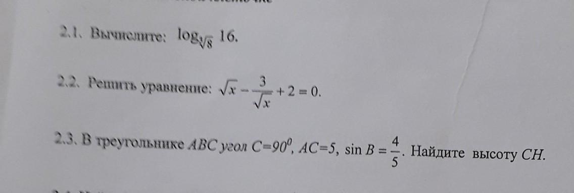
решение нужно пожалуйста ​

Приложения:

Ответы

Ответ дал: sdnss
1

log_{\sqrt[3]{8}}16=log_{2}16=4

\sqrt{x}-\frac{3}{\sqrt{x}}+2 = 0\\--------\\ODZ:x > 0\\--------\\\sqrt{x}=k\\k-\frac{3}{k}+2=0 |*k > 0\\k^2+2k-3=0\\k_1=-3 <0 ; k_2=1 > 0\\\sqrt{x} =1\\x = 1

Вас заинтересует