• Предмет: Геометрия
  • Автор: kamilmatematik100504
  • Вопрос задан 8 лет назад

Пожалуйста ; Решите !!!!!!!!!!

Приложения:

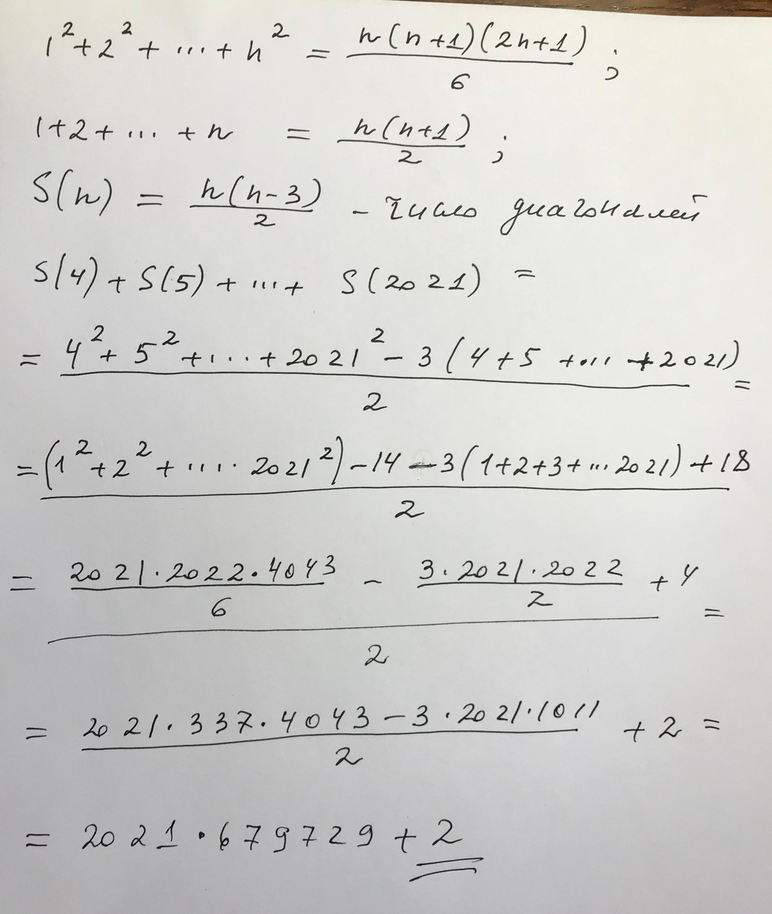
antonovm: если вы замените 2021 на n ничего не изменится , поэтому число 2021 особой роли не играет
kamilmatematik100504: (А да если кто не знал задача за 7 класс из Американской Олимпиады )
kamilmatematik100504: А Михал вы имеете в виду то что формулу суммы диагоналей можно разбить на две формулы первая эта сумма квадратов ; а вторая сумма кубов? И дальше по ним можно найти остаток да ?
kamilmatematik100504: А нет все понял ))
antonovm: не сумма кубов , а утроенная сумма первых n натуральных чисел
antonovm: только суммировать надо с 4 ( вычесть первые 3 слагаемых )
cos20093: не знаю, какая это олимпиада, но решение же на поверхности. Число диагоналей n(n-3)/2 - из каждой вершины идет n - 3 диагонали, всего вершин n, а пополам - потому что при таком счете диагонали считаются дважды.
cos20093: Если такую прогрессию сложить, она очевидно будет делиться на число слагаемых, если "забыть", что счет идет с 3, а не с 1. Значит остаток будет определяться отброшенными -(1+4)/2+3/2(1+3) = 2
cos20093: Кстати, кто "не верит", можете сосчитать сумму :)
mathgenius: cos, я про это уже писал выше

Ответы

Ответ дал: antonovm
4

Ответ:

2 ....................................

Объяснение:

Приложения:

kamilmatematik100504: Спасибо!
Вас заинтересует