Ответы
Пошаговое объяснение:
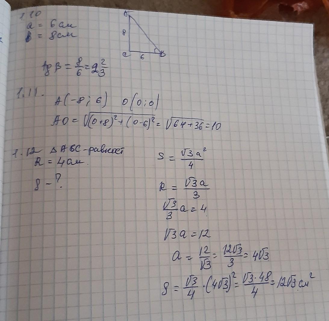
см фото,,,,,,,,,,,,,,,,,,,,,

Ответ: 3/4; 10; 12√3см²
Пошаговое объяснение: Тангенс угла при большем катете равен отношению длины меньшего катета к длине большего катета и равен: 6/8=3/4
Расстояние от точки А до начала координат находим по теореме Пифагора: √(-8)²+6²=√64+36=√100=10
В равностороннем треугольнике все углы по 60° Радиусы, опущенные из вершин треугольника к центру окружности являются и биссектрисами этих углов. Получились три равнобедренных треугольника в углами при вершине 120° и боковыми по 30°. Высота, опущенная из центра окружности на основание треугольника лежит против угла 30° и равна половине радиуса 2 см. Половина основания находим по теореме Пифагора √16-6=√12см. Получились шесть прямоугольных треугольника, которые будет равны площади описанного треугольника. S=(2*√12)/2*6=12√3cм²