• Предмет: Математика
  • Автор: Аноним
  • Вопрос задан 8 лет назад

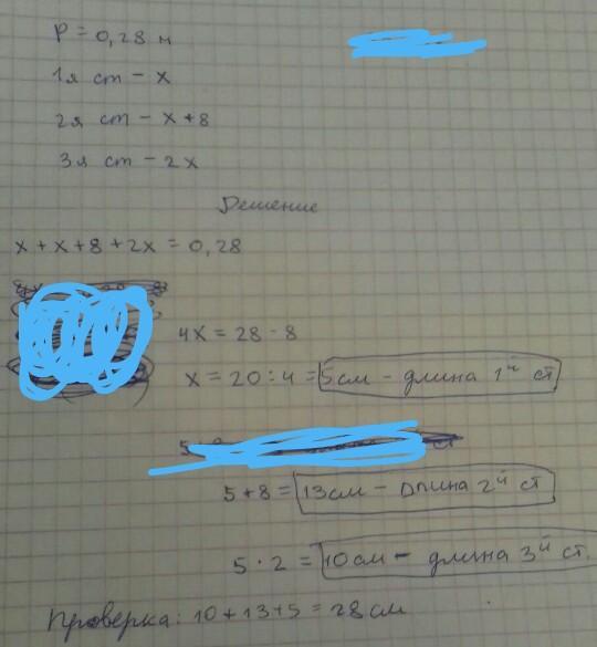
периметр треугольника равен 0,28 м.Найдите длины его сторон если известно что длина одной из них на 8 см меньше второй и в два раза меньше третьей.

Ответы

Ответ дал: Applegate
6

Решение и ответ на фотографии

Приложения:
Ответ дал: Пеппер
0

Ответ:

5 см    13 см    10 см

Пошаговое объяснение:

28 см = 0,28 м

Пусть а=х см, в=х+8 см, с=2х см, тогда по условию

х+х+8+2х=28

4х=20

х=5

а=5 см,  в=5+8=13 см,  с=5*2=10 см

Вас заинтересует