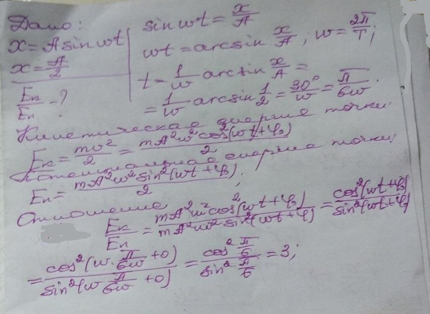
Укажите отношение кинетической энергии точки, совершающей гармонические колебания, к ее потенциальной энергии для момента времени, когда смещение точки равно половине амплитуды.
Вкажіть відношення кінетичної енергії точки, яка здійснює гармонічні коливання, до її потенціальної енергії для моменту часу, коли зміщення точки дорівнює половині амплітуди.
Ответы
Ответ дал:
1
Відповідь:
Пояснення:
Приложения:

Вас заинтересует
2 года назад
3 года назад
8 лет назад
8 лет назад
9 лет назад