Ответы
Ответ дал:
1
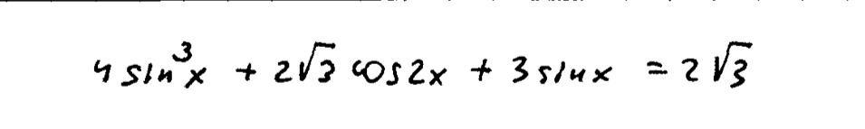
пn; (-1)^к×п/3+пk
Объяснение:
@}-----}}--------
Приложения:

mrakobes95:
Спасибо за решение. Вопрос почему -4V3 превратилось в -2V3?
Ответ дал:
1
Ответ:
Вас заинтересует
3 года назад
3 года назад
8 лет назад
8 лет назад
9 лет назад