• Предмет: Математика
  • Автор: 20210107
  • Вопрос задан 8 лет назад

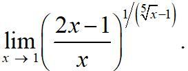
Найти/вычислить Предел

Приложения:

Ответы

Ответ дал: vladykar9
1

Відповідь:

Покрокове пояснення:

Приложения:
Вас заинтересует