• Предмет: Математика
  • Автор: VikaSaakyan
  • Вопрос задан 8 лет назад

СПОЧНОО .ДАЮ 30 БАЛЛОВ
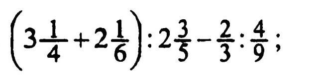
ответ 2 2/3(две целых две третий) нужно подобрать такое решение , чтобы получился такой ответ ​

Приложения:

damskiyugodnik43: ты девочка?
VikaSaakyan: какая разница?
damskiyugodnik43: ну, раз спрашиваю, значит есть разница
VikaSaakyan: ну девочка и что?
damskiyugodnik43: все, вот так бы сразу)

Ответы

Ответ дал: damskiyugodnik43
1

для начала переведем все дроби с целой части в неправильные дроби:

(13/4 + 13/6) : 13/5 - 2/3 : 4/9

теперь просто вычислим результат по правилам:

(13/4 + 13/6) : 13/5 - 2/3 : 4/9 = (39/12 + 26/12) : 13/5 - 2/3 * 9/4 = 65/12 * 5/13 - 18/12 = 325/156 - 18/12 = 7/12

хоть убей 2 2/3 не получается, тут вряд ли ответ не 7/12 ...


VikaSaakyan: и для этого надо было узнать девочка ли я ?
damskiyugodnik43: ага
Ответ дал: Universalka
0

1)3\dfrac{1}{4}+2\dfrac{1}{6} =3+\dfrac{1}{4}+2+\dfrac{1}{6} =5+\Big(\dfrac{1}{4}+\dfrac{1}{6}\Big)=5+\dfrac{3+2}{12}=5\dfrac{5}{12}\\\\\\2)5\dfrac{5}{12} :2\dfrac{3}{5}=\dfrac{65}{12}:\dfrac{13}{5}=\dfrac{65}{12}\cdot \dfrac{5}{13}=\dfrac{13\cdot 5\cdot 5}{12\cdot 13} =\dfrac{25}{12}=2\dfrac{1}{12}\\\\\\3)\dfrac{2}{3} :\dfrac{4}{9} =\dfrac{2}{3}\cdot \dfrac{9}{4}=\dfrac{3}{2}=1\dfrac{1}{2}

4)2\dfrac{1}{12}-1\dfrac{1}{2} =2+\dfrac{1}{12} -1-\dfrac{1}{2}=1+\Big(\dfrac{1}{12}-\dfrac{1}{2}\Big)=1+\dfrac{1-6}{12}=1-\dfrac{5}{12}=\boxed{\dfrac{7}{12}}

Вас заинтересует