• Предмет: Математика
  • Автор: javaibr
  • Вопрос задан 8 лет назад

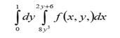
Изменить порядок интегрирования в повторном интеграле и сделать чертеж в области интегрирования. Пожалуйста срочно.

Приложения:

Ответы

Ответ дал: sergeybasso
1

Ответ:

Пошаговое объяснение:

на фото

Приложения:

javaibr: спасибо большое
Вас заинтересует