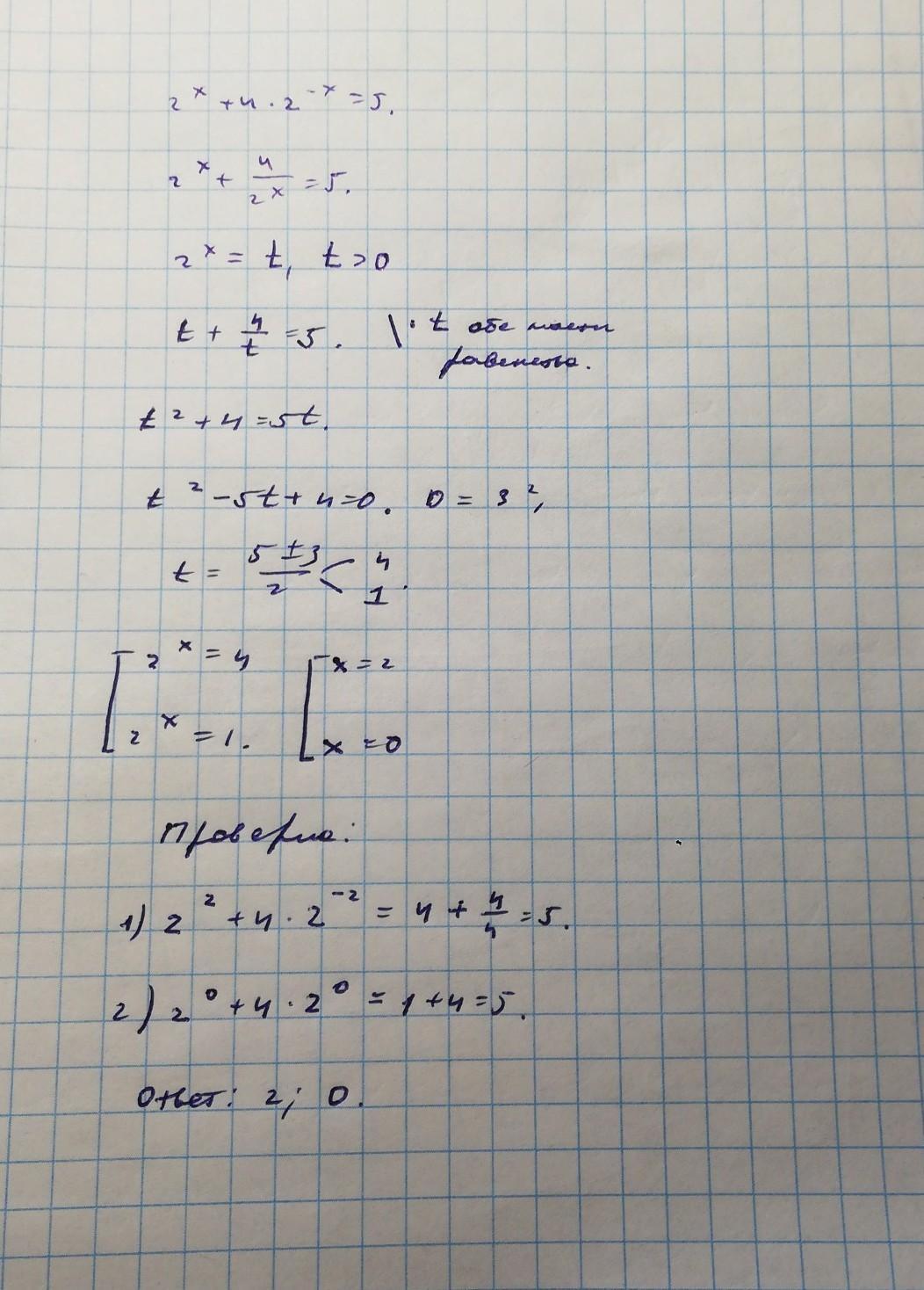
Найдите целые решения уравнения 2^x + 4*2^-x = 5.
Пожалуйста распишите решение.
mathgenius:
x = 0
2^x = 1; x1 = 0. 2^x = 4; x2=2
Ответы
Ответ дал:
2
/////////////////////////
Приложения:

Вас заинтересует
2 года назад
3 года назад
8 лет назад
8 лет назад
9 лет назад