Ответы
Ответ дал:
0
Ответ дал:
1
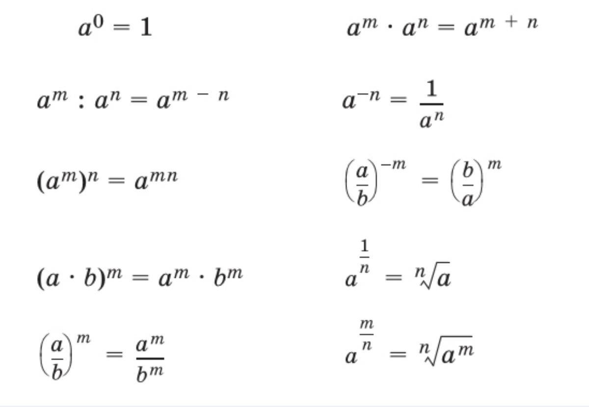
Ответ:
Пошаговое объяснение:
На фотографии свойства степеней.
Приложения:

Вас заинтересует
2 года назад
2 года назад
3 года назад
8 лет назад
9 лет назад
9 лет назад