• Предмет: Математика
  • Автор: imbaze9
  • Вопрос задан 8 лет назад

помогите решить эти задачи

Приложения:

ivanosipenko674: привет
ivanosipenko674: как я понял ты Анастасия

Ответы

Ответ дал: nastyaorlova5
1

Ответ:

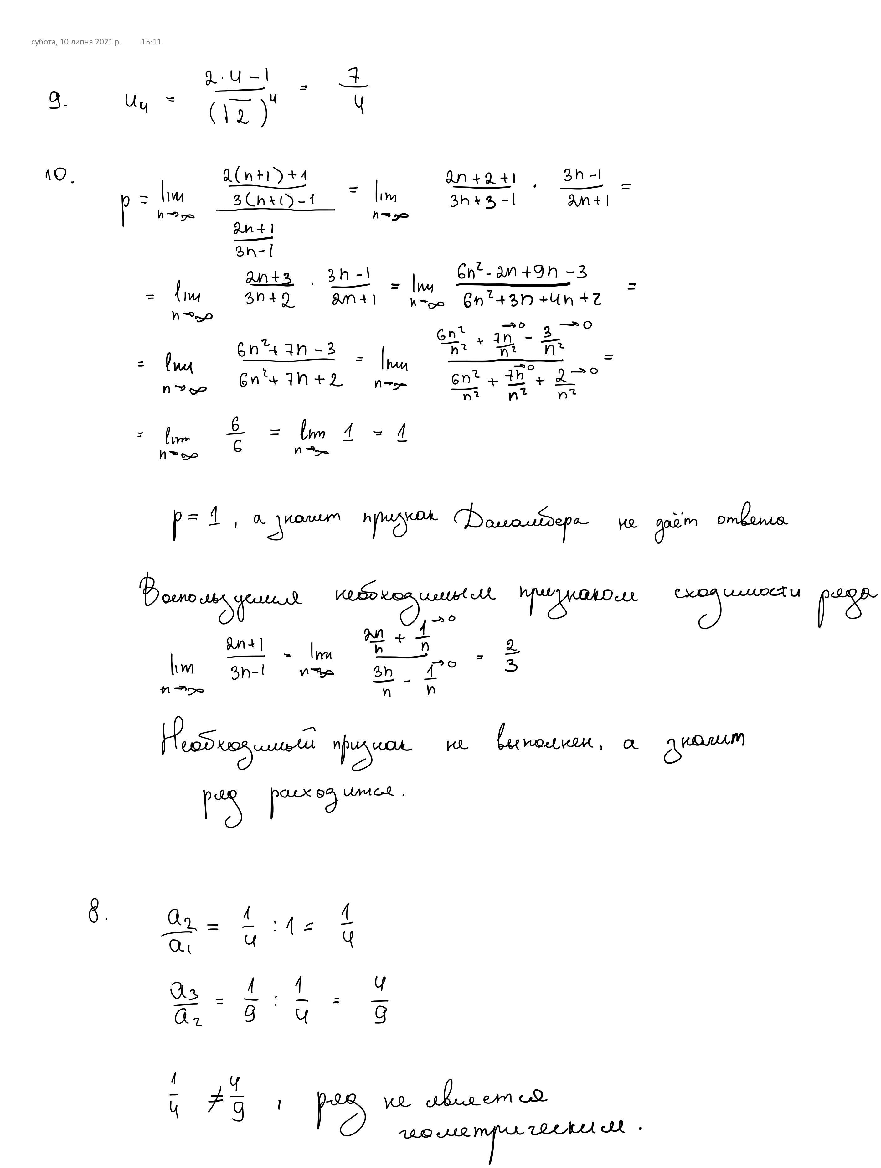
8. нет

9. 7/4

10. р = 1, ряд расходится

Пошаговое объяснение:

см. фото

Приложения:
Вас заинтересует