• Предмет: Алгебра
  • Автор: annasavchenkoo
  • Вопрос задан 8 лет назад

пожалуйста, помогите!!! даю 40 баллов

Приложения:

Ответы

Ответ дал: bahytgulkabylainova
1

Объяснение:

см фото,,,,,,,,,,,,,,,,,,,,,,,,

Приложения:
Ответ дал: nastyaorlova5
1

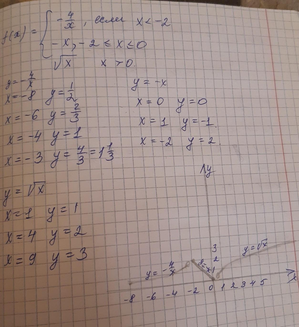
Ответ:

график на фото

Объяснение:

Самый просто способ построить: берешь иксы с определенного участка и подставляешь их в соответствующую формулу. Отсчитываешь точки на координатной плоскости и соединяешь их.

Например: берем х = -4. Он относится к промежутку х < -2, значит подставляем его в первую формулу. Получится 2. Ставим точку (-2, 2) где первая координата по х, вторая по у.

Выбрать 3-4 точки с каждого промежутка, а потом соединить. Чем больше точек - тем точнее график.

Подробнее о графиках:

1. красная линия. Это преобразованная гипербола. Стандартная гипербола располагается в 1 и 3 четверти. Эта, учитывая "-", будет во 2 и 4.  

2. синяя линия - прямая.

3. зеленная линия - стандартный график функции квадратного корня

Приложения:
Вас заинтересует