Ответы
Ответ дал:
1
Ответ: масса изотопа натрия 24 гр.
Объяснение:
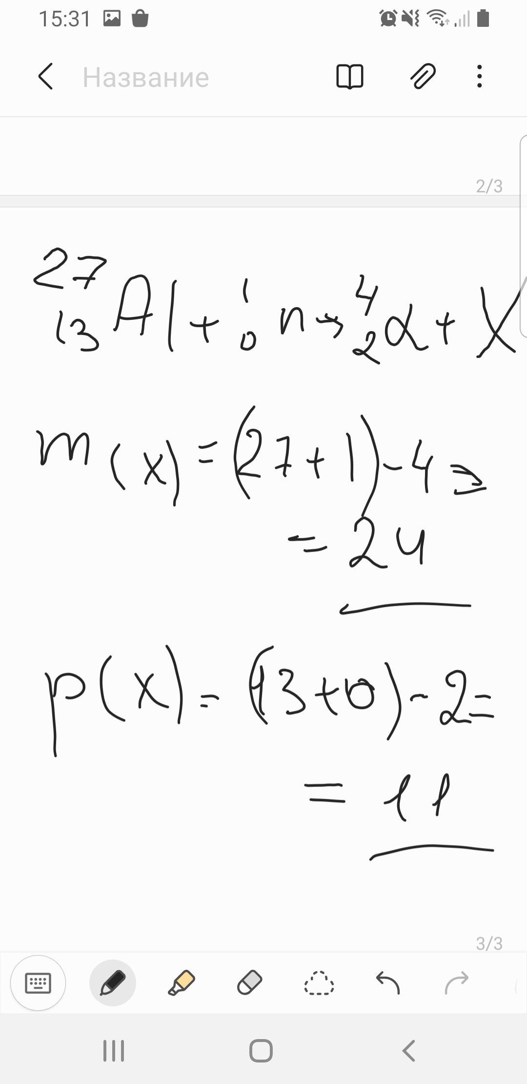
Чтобы найти массу Х элемента, массу всех частиц в левой части уравнения прибавляем и отнимаем массу альфа частицы на правой части уравнения. Таким образом выйдет масса Х элемента.
А чтобы найти порядковый номер элемента, т.е. количество его протонов, от суммы протонов всех частиц в левой части уравнения отнимаем протоны альфа- частицы или же гелия, выйдет 11. Значит это был изотоп натрия массой 24 гр.
Приложения:

Вас заинтересует
2 года назад
2 года назад
3 года назад
9 лет назад