Ответы
Ответ дал:
0
Объяснение:
см фото,,,,,,,,,,,,,,,,,,,
Приложения:

Ответ дал:
1
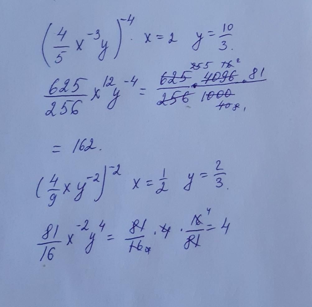
Ответ: 9 . 81 ; 10 . 4 .
Объяснение:
9 . ( 4/5 x⁻³y )⁻⁴= ( 4/5 )⁻⁴ *x¹²y⁻⁴= 5⁴/4⁴ *x¹²/y⁴ = [ x = 2 ; y = 10/3 ] = 5⁴/4⁴ * (3⁴ *2¹²)/10⁴ =
= ( 3⁴ * 2¹²)/ ( 4⁴ * 2⁴) = ( 3⁴ * 2¹²)/ ( 2³ )⁴ = ( 3⁴ * 2¹²)/ 2¹² = 3⁴ = 81 .
10 . ( 4/9 xy⁻²)⁻² =( 4/9 )⁻² * x⁻²y⁴ = 81/16 * y⁴/x² = [ x = 1/2 ; y = 2/3 ] =
= 81/16 * (2/3 )⁴/( 1/2 )² = ( 81 * 2⁴ * 2² )/(16 * 3⁴ *1 ) = 2² = 4 .
Вас заинтересует
2 года назад
3 года назад
8 лет назад