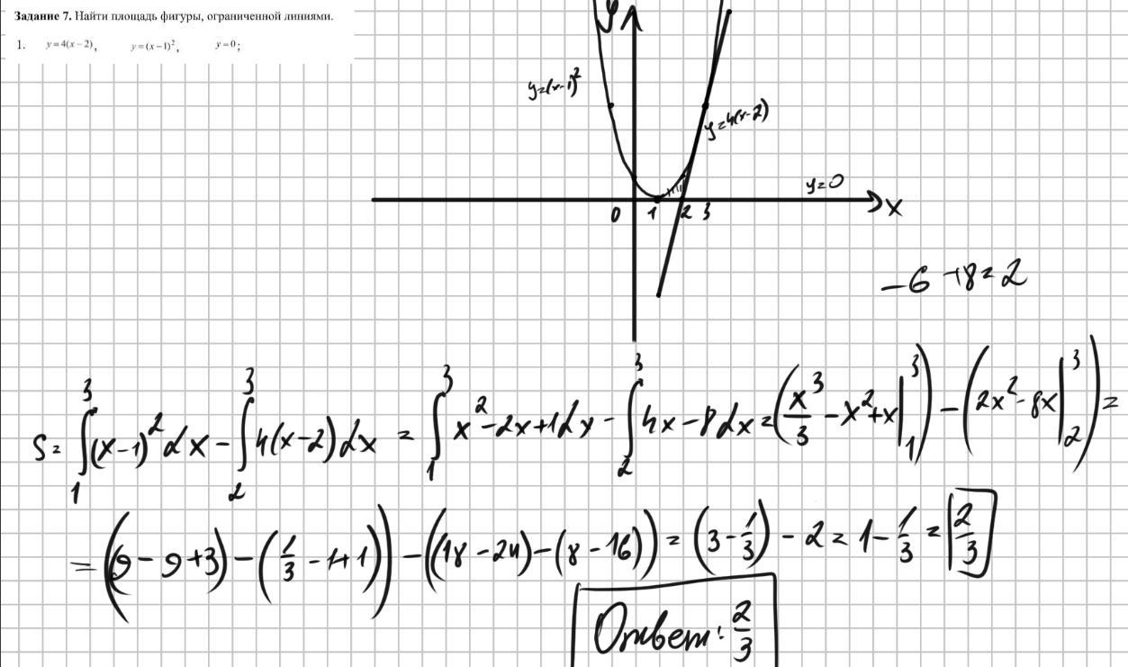
Найти площадь фигуры, ограниченной линиями.
Приложения:

pushpull:
это будет определенный интеграл от 1 до 3 (x-1)^2-4(x-2)
Ответы
Ответ дал:
1
Ответ:
Пошаговое объяснение:
---------------------
Приложения:

Вас заинтересует
3 года назад
3 года назад
8 лет назад
9 лет назад