• Предмет: Математика
  • Автор: Atom123456789
  • Вопрос задан 8 лет назад

ПОМОГИТЕ СРОЧНО 100 баллов

Приложения:

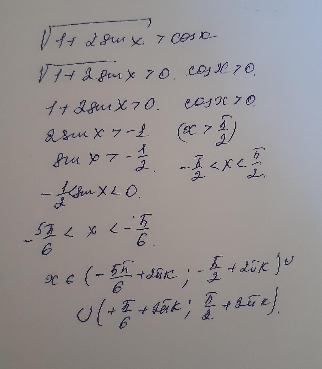
Ответы

Ответ дал: bahytgulkabylainova
1

Пошаговое объяснение:

см фото,,,,,,,,,,,,,,,,,,,,,,,

Приложения:
Вас заинтересует