• Предмет: Алгебра
  • Автор: helloguys
  • Вопрос задан 11 лет назад

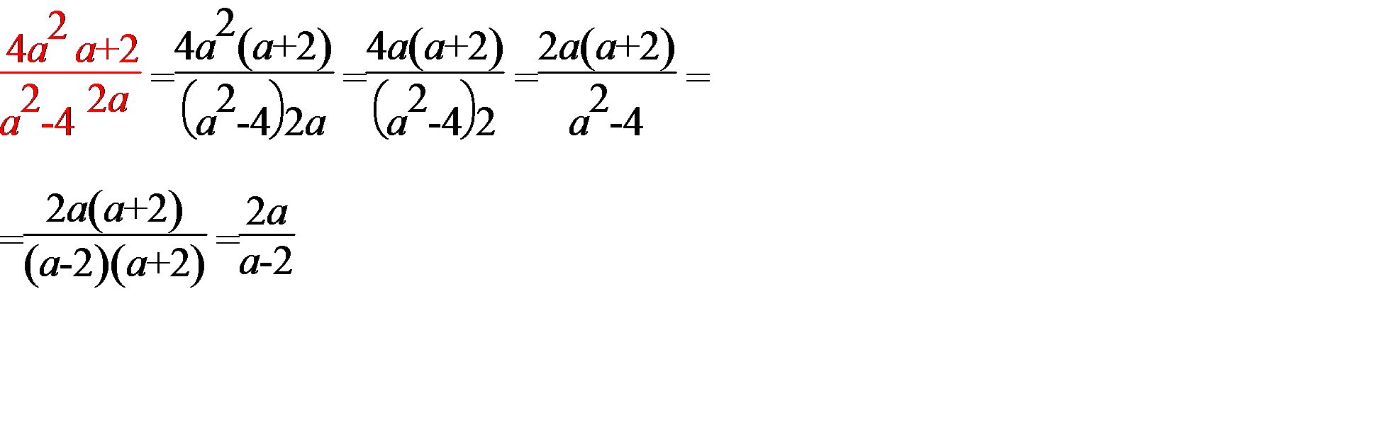
упростить выражение: 4а^2/a^2-4 x a+2/2a

прошууу *-*

/ - дробь

Ответы

Ответ дал: triolana
0

файл

-------------------------------

Приложения:
Ответ дал: lunnna
0

4a^2/a^2-4 * a+2/2a=2a^2/(a-2)(a+2) * a+2/1=2a^2(a+2)/(a-2)(a+2)=2a/a-2

Приложения:
Вас заинтересует