• Предмет: Математика
  • Автор: Titanor
  • Вопрос задан 8 лет назад

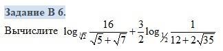
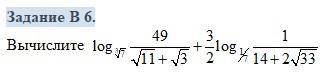
Вычислить значение логарифмов

Приложения:

Ответы

Ответ дал: andrnagar
0

Ответ:

12,9,6

Пошаговое объяснение:

1) 3(㏒₂\frac{16}{\sqrt{5}+\sqrt{7}  } - ㏒₂\frac{1}{\sqrt{5}+\sqrt{7}  } )= 3㏒₂\frac{16}{\sqrt{5}+\sqrt{7}  }*\frac{\sqrt{5}+\sqrt{7}}{1}  = 3㏒₂16=3*4=12  

2) 3(㏒₅\frac{125}{\sqrt{2}+\sqrt{3}  } - ㏒₅\frac{1}{\sqrt{2}+\sqrt{3}  } ) = 3㏒₅\frac{125}{\sqrt{2}+\sqrt{3}  }*\frac{\sqrt{2}+\sqrt{3}}{1} = 3㏒₅125=3*3=9

3) 3(㏒₇\frac{49}{\sqrt{11}+\sqrt{3}  } - ㏒₇\frac{1}{\sqrt{11}+\sqrt{3}  } ) = 3㏒₇\frac{125}{\sqrt{11}+\sqrt{3}  }*\frac{\sqrt{11}+\sqrt{3}}{1} = 3㏒₇49=3*2=6

Вас заинтересует