Ответы
Ответ дал:
1
1110192929929292929929292828827355366637373773646463763737634646
Приложения:

Ответ дал:
0
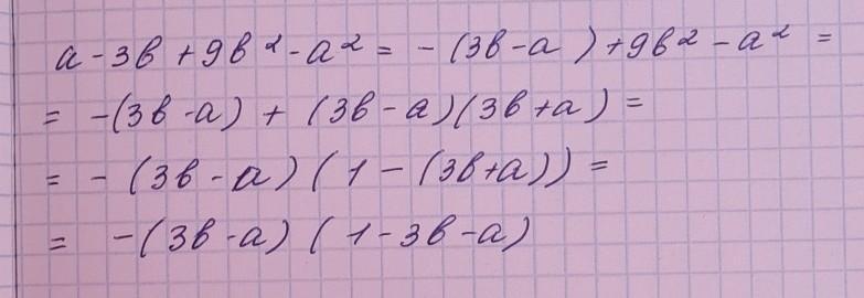
решить с помощью формул сокращённого умножения
Приложения:

Вас заинтересует
2 года назад
2 года назад
3 года назад
3 года назад
8 лет назад
8 лет назад
9 лет назад