• Предмет: Алгебра
  • Автор: geniuigri
  • Вопрос задан 8 лет назад

Помогите пожалуйста с дробным уравнинием

Приложения:

Ответы

Ответ дал: nav61985
0

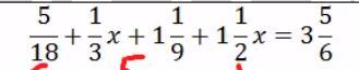
5/18+1/3x+10/9+3/2x=23/6

25/18+1/3x+3/2x=23/6

25+6x+27x=69

25+33x=69

33x=69-25

33x=44

x=4/3

Ответ дал: Universalka
0

\dfrac{5}{18} +\dfrac{1}{3} x+1\dfrac{1}{9}+1\dfrac{1}{2}x=3\dfrac{5}{6}\\\\\dfrac{1}{3}x+1\dfrac{1}{2}x=3\dfrac{5}{6}-\dfrac{5}{18}-1\dfrac{1}{9}\\\\\Big[1+\Big(\dfrac{1}{3}+\dfrac{1}{2}\Big)\Big]x=3-1+\Big(\dfrac{5}{6}-\dfrac{5}{18}-\dfrac{1}{9}\Big)\\\\\Big(1+\dfrac{2+3}{6}\Big)x=2+\dfrac{15-5-2}{18}\\\\1\dfrac{5}{6}x=2+\dfrac{4}{9}\\\\1\dfrac{5}{6}x=2\dfrac{4}{9}\\\\x=\dfrac{22}{9}:\dfrac{11}{6} \\\\x=\dfrac{22}{9}\cdot\dfrac{6}{11}\\\\x=\dfrac{4}{3}\\\\\boxed{x=1\dfrac{1}{3}}

Вас заинтересует