• Предмет: Математика
  • Автор: xlebysek80
  • Вопрос задан 8 лет назад

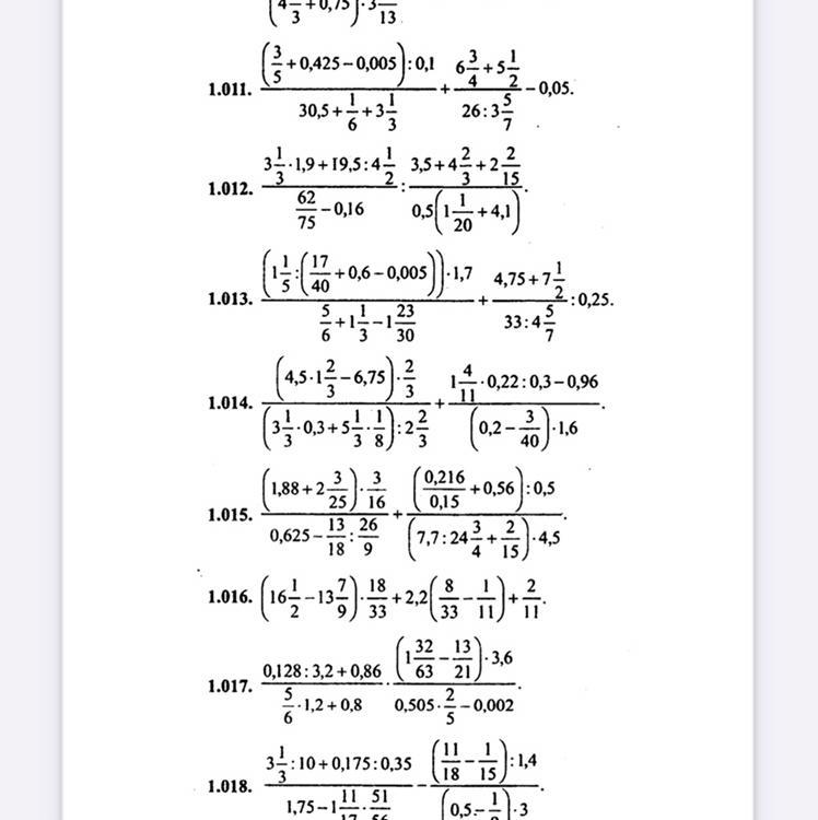
1.011. Распишите пожалуйста

Приложения:

BMW52: Какой?
BMW52: 1011?
mmb1: Сканави

Ответы

Ответ дал: ludmilaksenija2005
2

Пошаговое объяснение:

1) (0,6+0,425-0,005):0,1 =10,2

2) (30 1/2+1/6+3 1/3)=61/2+1/6+10/3=

=(183+1+20)/6=204/6=34

3) 6 3/4+5 1/2=6,75+5,5=12,25

4) 26:3 5/7=26:26/7=26/1×7/26=7

5) 10,2/34 + 12,25/7 - 0,05=

=0,3+1,75-0,05=2

Ответ дал: iramazurk
1

Ответ:

2

Пошаговое объяснение:

1. 011

1) 3/5 + 0,425 = 0,6 + 0,425 = 1,025

2) 1,025 - 0,005 = 1,02

3) 1,02 : 0,1 = 10,2

Это числитель 1 дроби

4) 1/6 + 3. 1/3 = 1/6 + 3. 2/6 = 3. 3/6 = 3. 1/2

5) 30,5 + 3. 1/2 = 30,5 + 3,5 = 34

Это знаменатель 1 дроби

6) 10,2 : 34 = 0,3

Это результат 1 дроби

7) 6. 3/4 + 5. 1/2 = 6. 3/4 + 5. 2/4 = 11. 5/4 = 12. 1/4

Это числитель 2 дроби

8) 26 : 3. 5/7 = 26 : 26/7 = 26 * 7/26 = 1 * 7/1 = 7/1 = 7

Это знаменатель 2 дроби

9) 12. 1/4 : 7 = 49/4 : 7 =

49/4 * 1/7 = 7/4 * 1/1 = 7/4 = 1,75

Это результат 2 дроби

10) 0,3 + 1,75 = 2,05

Это сумма двух дробей

11) 2,05 - 0,05 = 2

Результат примера.

Ответ: 2

Вас заинтересует