• Предмет: Алгебра
  • Автор: kiravalen451551
  • Вопрос задан 8 лет назад

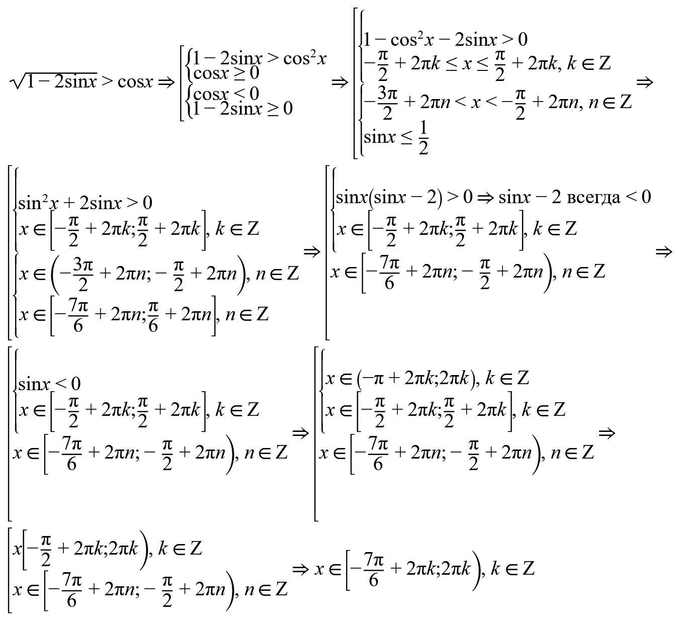
Как решить пятое неравенство?

Приложения:

Ответы

Ответ дал: palilov243659
0

Ответ:

Объяснение:

..................................................

Приложения:
Вас заинтересует