• Предмет: Алгебра
  • Автор: 02HANNAN007
  • Вопрос задан 8 лет назад

Решите неравенство помогите пж

Приложения:

Ответы

Ответ дал: bahytgulkabylainova
1

Ответ:

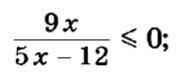
9х/(5х-12)<=0

9х=0

х=0

5х-12#0

5х#12

х#2,4

-----------0--------2,4-----------‐-

+ - +

х€[0;2,4)

Ответ дал: NNNLLL54
0

Ответ:

Метод интервалов .

\dfrac{9x}{5x-12}\leq 0\ \ ,\ \ \ \dfrac{9x}{5\, (x-2,4)}\leq 0\\\\\\znaki:\ \ \ +++[\ 0\ ]---(2,4)+++\\\\\\x\in [\ 0\ ;\ 2,4\ )

Вас заинтересует