• Предмет: Математика
  • Автор: okc0677
  • Вопрос задан 8 лет назад

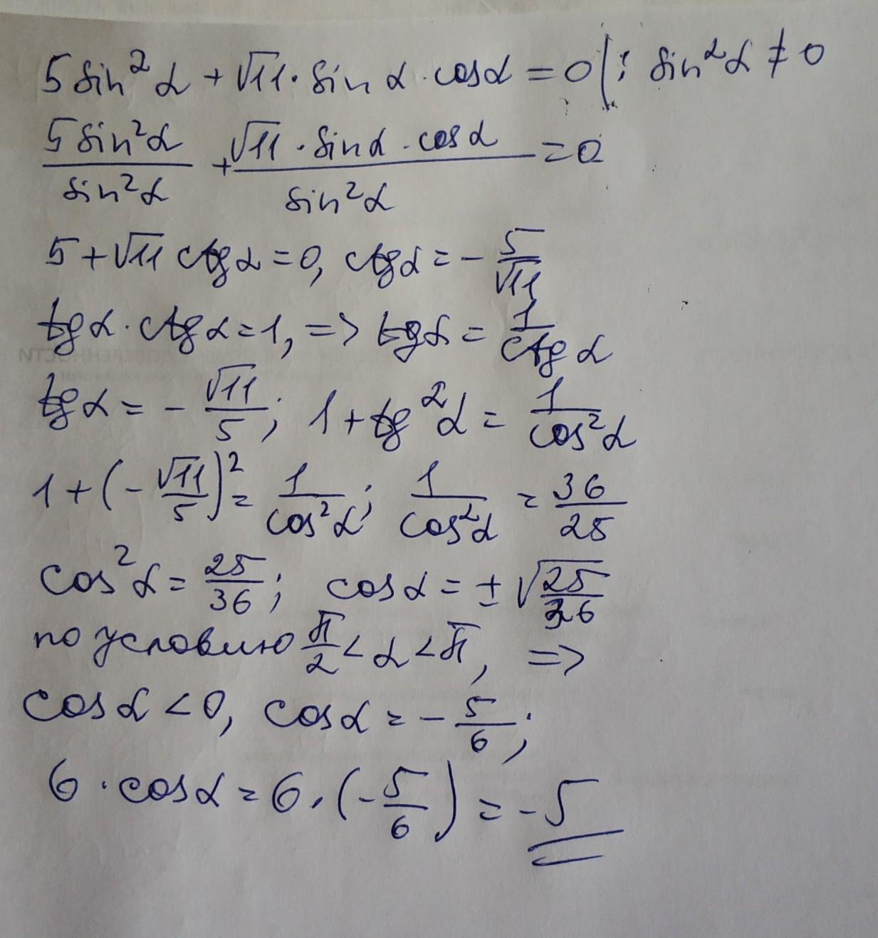
Вычислите 6cos
Математика, срочно

Приложения:

Ответы

Ответ дал: kirichekov
1

Ответ:

6cos \alpha  =  - 5

Пошаговое объяснение:

решение во вложении

Приложения:
Вас заинтересует