Как тут правильно? Раскрываем скобки многочлена и приводим подобные слагаемые. У меня получилось x^8 + 9, поскольку 9x^6 и 8x^6, 4x^8 и 5x^8 сократятся.
Приложения:

Ответы
Ответ дал:
1
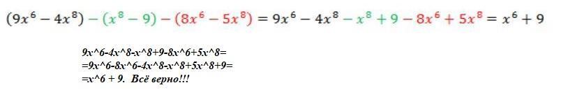
Ответ: x^6+9.
Объяснение:
Группируете по x^6 (9-8=1) и по x^8 (-4-1+5=0)=> Остается x^6+9.
Решение см. на скриншоте
Приложения:

cptleonn:
Спасибо.
Вас заинтересует
2 года назад
2 года назад
3 года назад
8 лет назад
8 лет назад
9 лет назад
9 лет назад