• Предмет: Алгебра
  • Автор: aallllll
  • Вопрос задан 8 лет назад

Помогите пожалуйста решить задачу ​

Приложения:

Ответы

Ответ дал: NNNLLL54
1

Ответ:

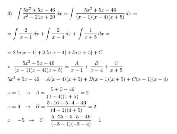
\displaystyle 3)\ \ \int \dfrac{5x^2+5x-46}{x^3-21x+20}\, dx=\int \dfrac{5x^2+5x-46}{(x-1)(x-4)(x+5)}\, dx=\\\\\\=\int \dfrac{2}{x-1}\, dx+\int \dfrac{2}{x-4}\, dx+\int \dfrac{1}{x+5}\, dx=\\\\\\=2\, ln|x-1|+2\, ln|x-4|+ln|x+5|+C

\star \ \ \dfrac{5x^2+5x-46}{(x-1)(x-4)(x+5)}=\dfrac{A}{x-1}+\dfrac{B}{x-4}+\dfrac{C}{x+5}\\\\5x^2+5x-46=A(x-4)(x+5)+B(x-1)(x+5)+C(x-1)(x-4)\\\\x=1\ \ \to \ \  A=\dfrac{5+5-46}{(1-4)(1+5)}=2\\\\x=4\ \ \to \ \ B=\dfrac{5\cdot 16+5\cdot 4-46}{(4-1)(4+5)}=2\\\\x=-5\ \ \to \ \ C=\dfrac{5\cdot 25-5\cdot 5-46}{(-5-1)(-5-4)}=1

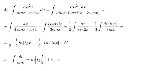
\displaystyle 4)\ \ \int \frac{cos^2x}{sinx\cdot cos3x}\, dx=\int \dfrac{cos^2x\, dx}{sinx\cdot (4cos^3x-3cosx)}=\\\\\\=\int \frac{dx}{4\, sinx\cdot cosx}-\int \frac{cosx\, dx}{3sinx}=\dfrac{1}{2}\int \frac{dx}{sin2x}-\dfrac{1}{3}\int \frac{d(sinx)}{sinx}=\\\\\\=\frac{1}{2}\cdot \dfrac{1}{2}\, ln|\, tgx\, |-\frac{1}{3}\cdot ln|sinx|+C\\\\\\\star \ \ \ \int \dfrac{dt}{sint}=ln\Big|\, tg\frac{t}{2}\, \Big|+C\ \ \star

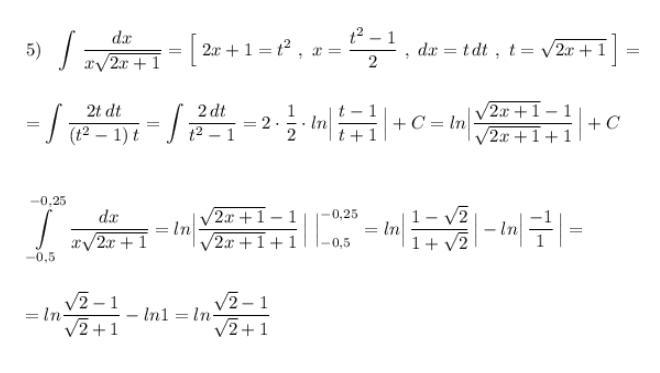
\displaystyle 5)\ \ \int\limits\, \frac{dx}{x\sqrt{2x+1}}=\Big[\ 2x+1=t^2\ ,\ x=\frac{t^2-1}{2}\ ,\ dx=t\, dt\ ,\ t=\sqrt{2x+1}\ \Big]=\\\\\\=\int \frac{2t\, dt}{(t^2-1)\, t}=\int \frac{2\, dt}{t^2-1}=2\cdot \frac{1}{2}\cdot ln\Big|\, \frac{t-1}{t+1}\, \Big|+C=ln\Big|\frac{\sqrt{2x+1}-1}{\sqrt{2x+1}+1}\, \Big|+C

\displaystyle \int\limits_{-0,5}^{-0,25}\, \frac{dx}{x\sqrt{2x+1}}=ln\Big|\frac{\sqrt{2x+1}-1}{\sqrt{2x+1}+1}\, \Big|\ \Big|_{-0,5}^{-0,25}=ln\Big|\, \frac{1-\sqrt2}{1+\sqrt2} \, \Big|-ln\Big|\, \frac{-1}{1} \, \Big|=\\\\\\=ln\frac{\sqrt2-1}{\sqrt2+1}-ln1=ln\frac{\sqrt2-1}{\sqrt2+1}

Приложения:

aallllll: спасибо большое, добавьте скриншот пожалуйста
Вас заинтересует