• Предмет: Математика
  • Автор: GTROZ
  • Вопрос задан 8 лет назад

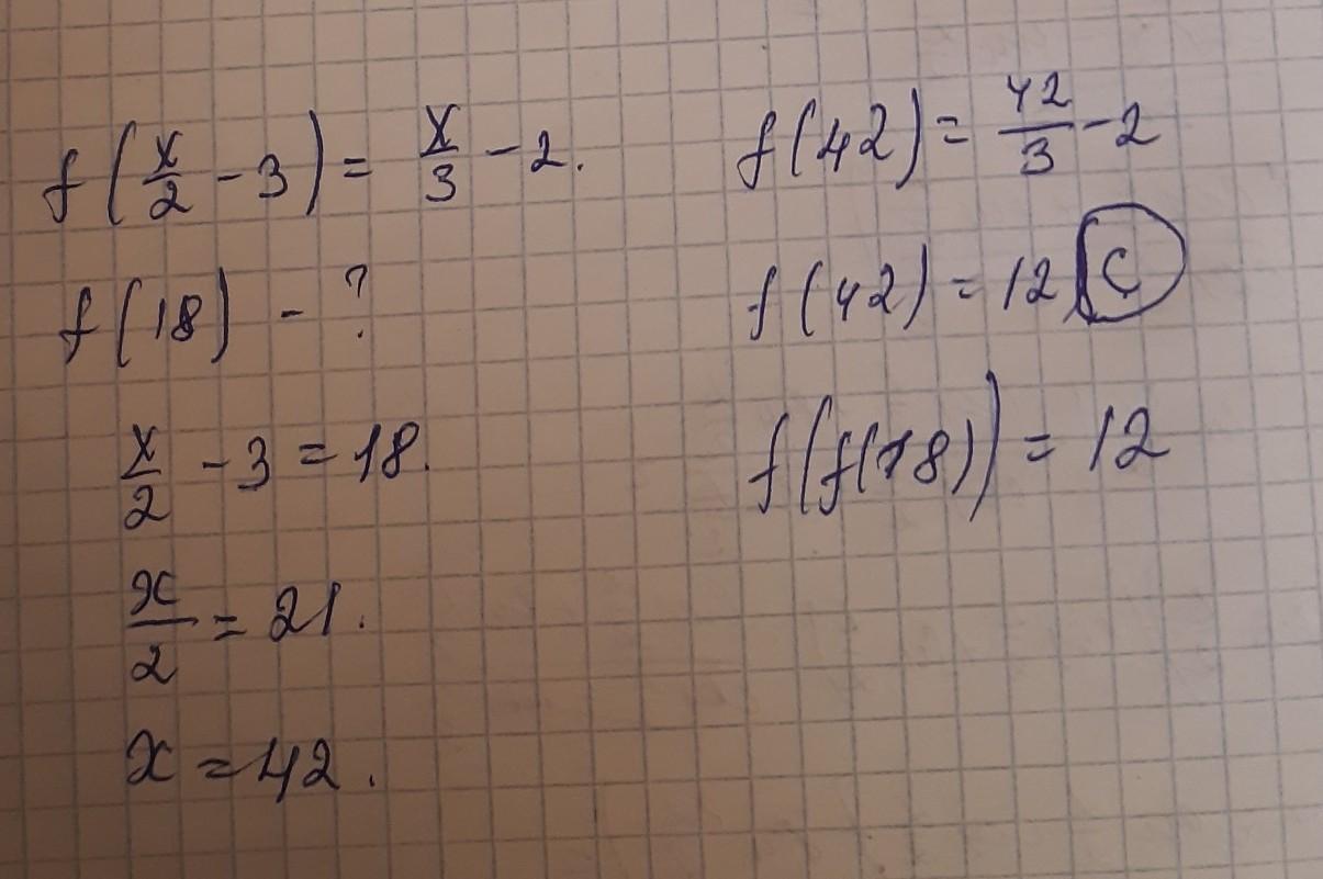
Если f((x/2) -3)= (x/3)-2, то f(f(18))=? ​

Приложения:

Ответы

Ответ дал: bahytgulkabylainova
1

Пошаговое объяснение:

см фото,,,,,,,,,,,,,,,,,,,,,,,,,,,

Приложения:
Вас заинтересует