Ответы
Ответ дал:
0
Ответ:
................................................................
Приложения:

Ответ дал:
0
Ответ:
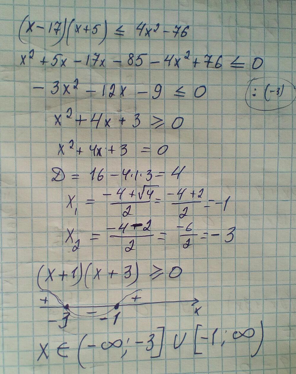
(-∞;-3] ; [-1;+∞)
Пошаговое объяснение:
(x-17)(x+5)≤4x²-76
x²-17х+5х-85-4x²+76≤0
-3x²-12х-9≤0
Разделим почленно на -3, поменяв при этом знак неравенства на противоположный
x²+4х+3≥0
Раскладываем на множители x²+4х+3 , предварительно найдя корни соответствующего квадратного уравнения x²+4х+3=0 х₁=-1, х₂=-3
(х+1)*(х+3)≥0
Числа х₁=-1, х₂=-3 разбивают числовую прямую на три промежутка и знаки определяются по знаку старшего для x²+4х+3, те +-+, поэтому ответом будет промежутки (-∞;-3] ; [-1;+∞)
Вас заинтересует
2 года назад
2 года назад
3 года назад
3 года назад
9 лет назад
9 лет назад