• Предмет: Алгебра
  • Автор: Аноним
  • Вопрос задан 8 лет назад

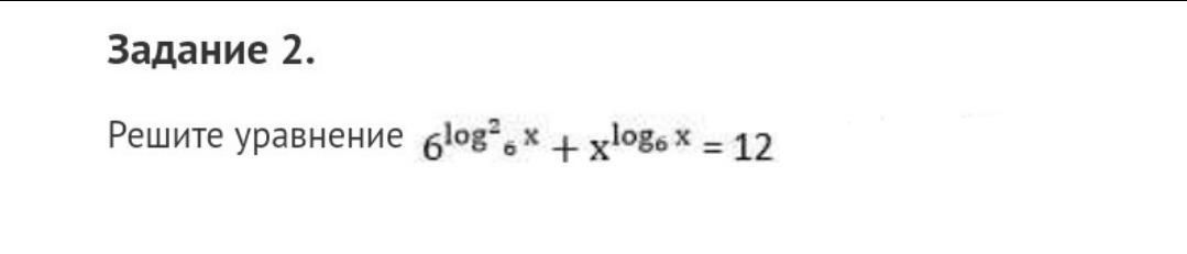
напишите решение уравнения

Приложения:

Reqiuem10: log6(x) назначаем t

Ответы

Ответ дал: DNHelper
0

Ответ:

\dfrac{1}{6},6

Объяснение:

ОДЗ: x > 0

6^{\log_6^2{x}}+x^{\log_6{x}}=12\\6^{\log_6{x}\cdot\log_6{x}}+x^{\log_6{x}}=12\\(6^{\log_6{x}})^{\log_6{x}}+x^{\log_6{x}}=12\\x^{\log_6{x}}+x^{\log_6{x}}=12\\2x^{\log_6{x}}=12\\x^{\log_6{x}}=6\\\log_6{x^{\log_6{x}}}=\log_6{6}\\\log_6{x}\cdot\log_6{x}=1\\\log_6^2{x}=1\\\displaystyle \left [ {{\log_6{x}=1} \atop {\log_6{x}=-1}} \right. \left [ {{x=6}} \atop {x=\dfrac{1}{6}}} \right.

Оба корня положительны, следовательно, они удовлетворяют ОДЗ.

Вас заинтересует