• Предмет: Геометрия
  • Автор: Аноним
  • Вопрос задан 8 лет назад

помогите вычислить объем шара

Приложения:

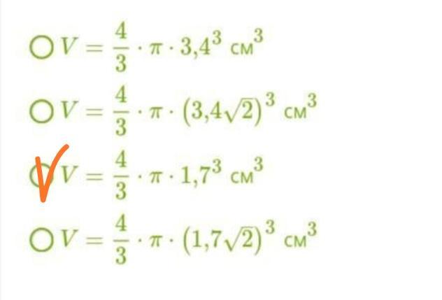
teacher1011: 3 вариант верный

Ответы

Ответ дал: Аноним
1

Ответ:

4/3*π*1,7³ см³

Объяснение:

Диаметр шара равен ребру куба

D=AA1=3,4см

R=D/2=3,4/2=1,7см

V=4/3*π*1,7³ см³

Приложения:
Вас заинтересует