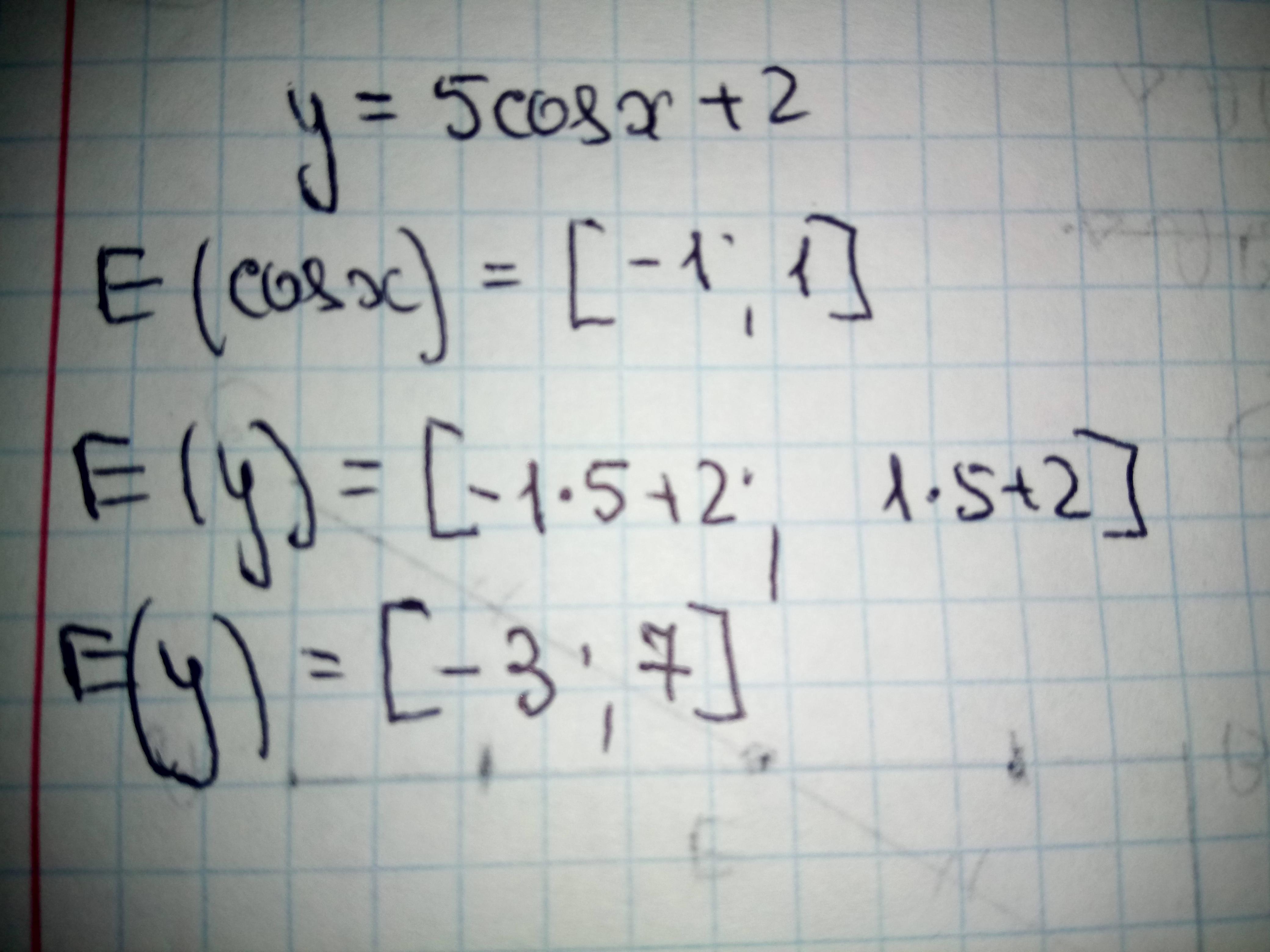
Укажите правильный ответ при определении множества значений функции : y = 5cos x + 2
Alexandr130398:
E(y)=[-3;7]
Ответы
Ответ дал:
1
Решение задания прилагаю
Приложения:

Вас заинтересует
2 года назад
3 года назад
8 лет назад
9 лет назад