Ответы
Ответ дал:
0
Ответ:
.........................
Приложения:

Ответ дал:
1
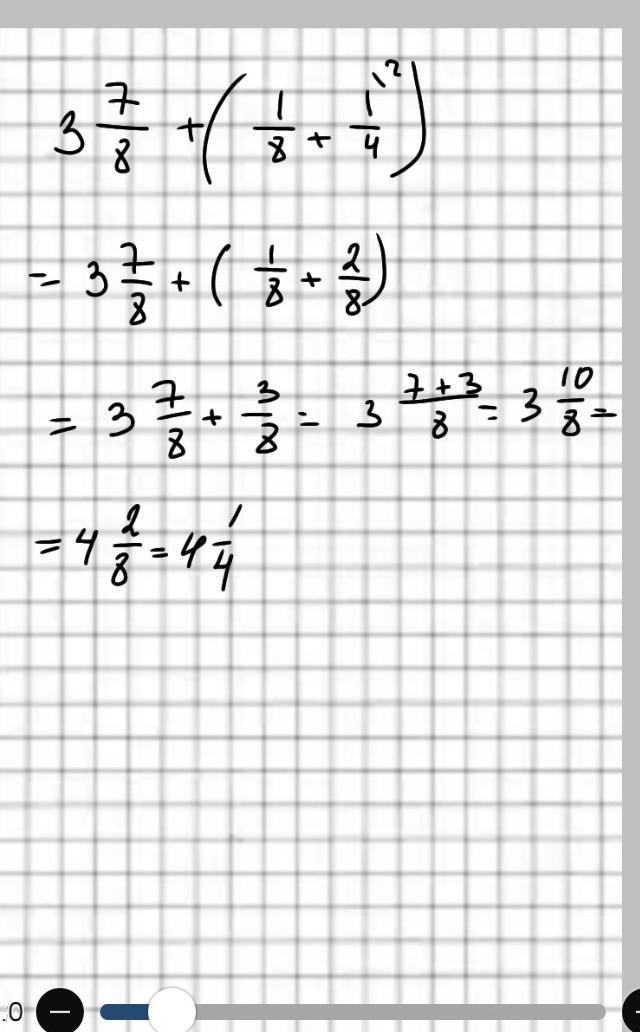
Ответ:
4 1/4
Пошаговое объяснение:
3 7/8 + (1/8 + 1/4)=(3×8+7)/8+ (1/8 + 1/4)
31/8 + (1/8 + 2/8)= 34/8
34/8 = 17/4 =4 1/4
Вас заинтересует
2 года назад
2 года назад
3 года назад
3 года назад
8 лет назад
9 лет назад