• Предмет: Алгебра
  • Автор: muratgamechanel
  • Вопрос задан 8 лет назад

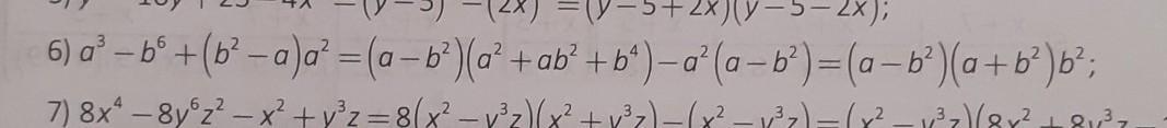
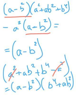
6-й пример обьясните решение , разложение по шагам​

Приложения:

Ответы

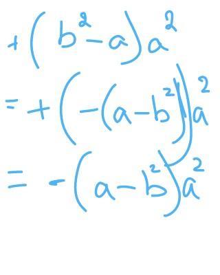
Ответ дал: bratabravl11
0

хоть так надеюсь будет понятно

Приложения:

muratgamechanel: капей ты гений мог еще непонятнее написать? ответ там написан все что требуется это объяснить ничего не понятно с того что ты сказал я уже знал
bratabravl11: я думал понятно объяснил
bratabravl11: ща
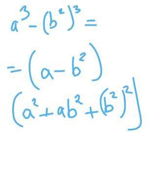
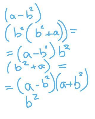
Ответ дал: ivan48367
1

Ответ:

.................................................

Приложения:
Вас заинтересует