• Предмет: Алгебра
  • Автор: laxalox
  • Вопрос задан 8 лет назад

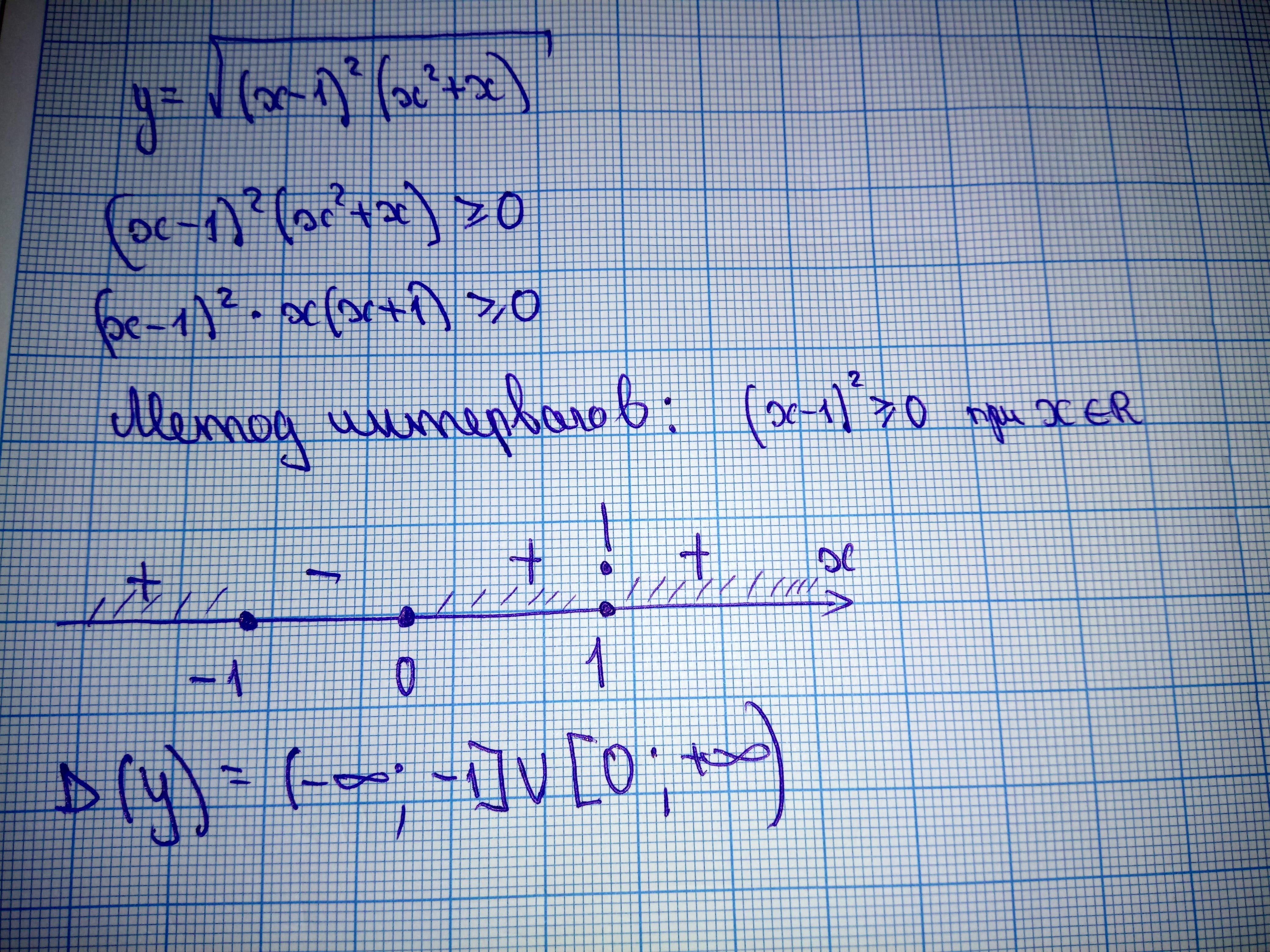
Найдите пожалуйста область определения функции y= корень из (x-1)^2*(x^2+x)

Приложения:

farator4: я в задачах подобного типа использую метод "змейки". Наношу "ноли" на числовую прямую а потом змейкой пробегаю справа налево. Правый интервал всегда "+", а дальше змейка либо пробивает ось и привращается в "-", либо отбивается и продолжает идти над осью. Отбивается только в точках корней с парной кратностью. Исключаются ли точки корней - зависит от строгости знака неравенства (в данном примере не исключается ни одна точка).
Аноним: Это и есть метод интервалов

Ответы

Ответ дал: Rocinante
1

Ответ: х принадлежит (- бесконечность;-1] в объединении с [0;+бесконечность)

Если другими словами, х <= - 1 или х>=0

Объяснение:

Приложения:
Ответ дал: Аноним
0

Чтобы решать такие неравенства нужно хорошо знать метод интервалов. И тогда решение на поверхности.

Приложения:

Аноним: Нужно, чтобы вам кто-то понятно его объяснил. Это очень легко решается, на автомате.
laxalox: Большое спасибо.
Вас заинтересует