при каких значениях параметра a сумма квадратов вещественных корней уравнения равна 1,9? если значений несколько, записать их сумму
Приложения:

plexrqvod:
молю, можно просто ответ. без решения
Ответы
Ответ дал:
0
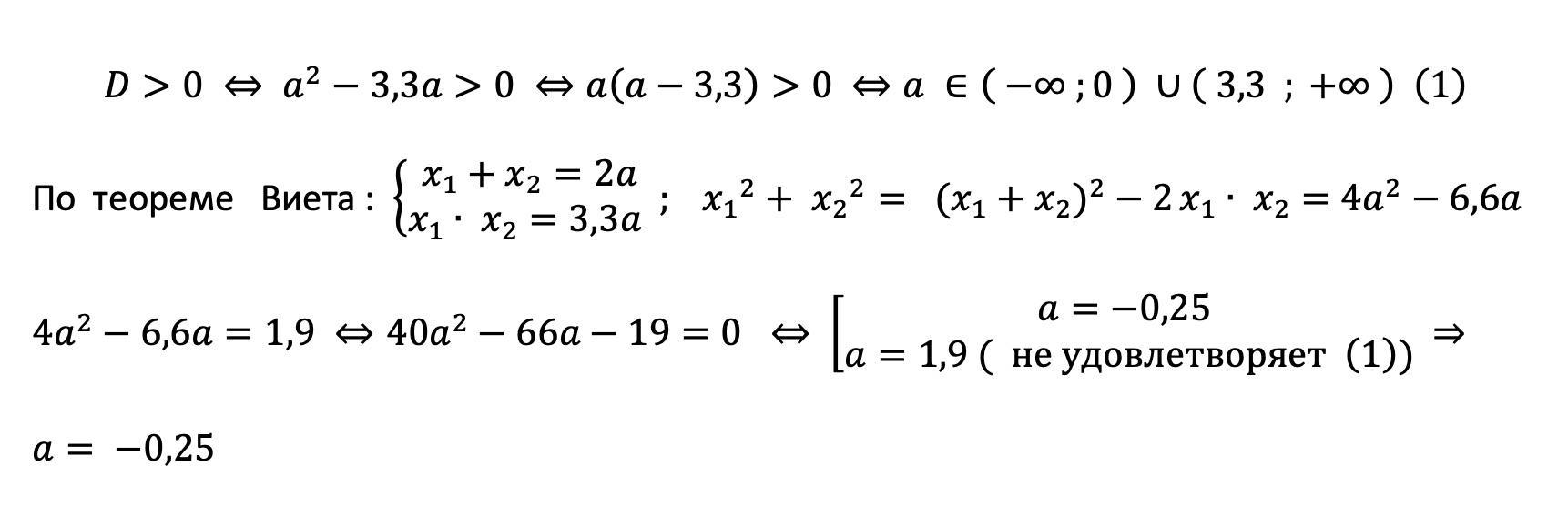
Ответ:
-0,25
Пошаговое объяснение:
x²-2ax+3,3a = 0
Выразим дискриминант, а затем и корни через a:
D = k²-AC = (-a)²-1·3,3a = a²-3,3a (здесь k = B/2)
Для того чтобы найти значения параметра, при которых сумма квадратов вещественных корней была бы равна 1,9, достаточно решить уравнение x_1²+x_2² = 1,9 или
Область допустимых значений (ОДЗ):
a²-3,3a ≥ 0, a(a-3.3) ≥ 0
+ - +
¯¯¯¯¯¯¯¯¯¯(0)¯¯¯¯¯¯¯¯¯¯(3,3)¯¯¯¯¯¯¯¯¯¯
a ∈ (-∞; 0] ∪ [3,3; +∞)
Раскроем скобки и сведем подобные:
D = k²-AC = (-3,3)²+4·1,9 = 10,89+7,6 = 18,49 (опять же k = B/2)
Корень 1,9 не входит в ОДЗ.
Получили, что только одно значение a — -0,25 — удовлетворяет условию.
Ответ дал:
1
Ответ:
-0,25
Пошаговое объяснение:
Приложения:

Вас заинтересует
2 года назад
3 года назад
8 лет назад
8 лет назад
9 лет назад