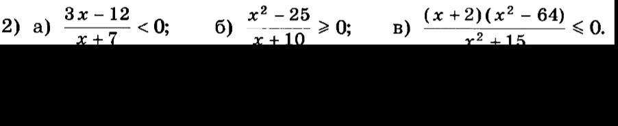
Решите неравенство срочно
Приложения:

Reqiuem10:
А что я написал не тоже самое?
Ответы
Ответ дал:
1
Ответ:
Объяснение:
для справки: х²+15 при всех значениях х больше 0, поэтому в неравенстве мы его не учитываем
Приложения:

Вас заинтересует
2 года назад
2 года назад
3 года назад
3 года назад
8 лет назад
9 лет назад