• Предмет: Математика
  • Автор: hahahahaahahhaaa
  • Вопрос задан 8 лет назад

Помогите пожалуйста с математикой

Приложения:

Ответы

Ответ дал: ludmilaksenija2005
1

Пошаговое объяснение:

Решение на фото _________==_=______

Приложения:

hahahahaahahhaaa: спасибо
Ответ дал: ildar502020
1

Ответ:   x/(x+3).

Пошаговое объяснение:

Решение.

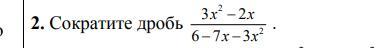
Сократить (3x²-2x)/(6-7x-3x²);

Знаменатель дроби не должен быть равен нулю - ОДЗ.

Найдем его нули:

3x²+7x-6=0;   (предварительно умножили на (-1)).

a=3;  b=7  c=-6;

D=b²-4ac = 7²-4*3*(-6)=49+72=121=11²>0 - 2 корня.

x1,2=(-b±√D)/2a=(-7±11)/6;

x1=(-7+11)/6=4/6=2/3;

x2=(-7-11)/6=-18/6=-3.

Исходную дробь можно переписать в виде

x(3x-2)/(3x-2)(x+3);

После сокращения получим:

x/(x+3).  Это ответ.  При этом x≠-3!!!


hahahahaahahhaaa: спасибо большое
Вас заинтересует