• Предмет: Математика
  • Автор: KosmoKothka
  • Вопрос задан 8 лет назад

Знайдіть усі цілі розв'язки нерівності –2х^2+ 5х – 2 >= 0. ​

Ответы

Ответ дал: ivan48367
2

Ответ:

...................................................

Приложения:
Ответ дал: LymarIvan
1

Відповідь:

1 та 2

Пояснення:

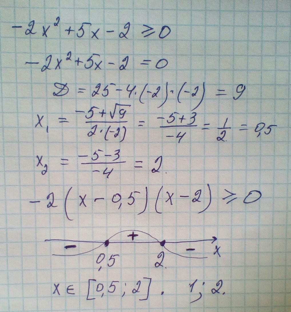
Розкладемо ліву частину нерівності на множники, розв'язавши відповідне квадратне рівняння:

-2x²+5x-2 = 0

2x²-5x+2 = 0

D = b²-4ac = (-5)²-4·2·2 = 25-16 = 9

x_1 = (-b+√D)/2a = (5+√9)/(2·2) = (5+3)/4 = 2

x_2 = (-b-√D)/2a = (5-√9)/(2·2) = (5-3)/4 = 0,5

Тоді -(2x²-5x+2) = -2(x-0,5)(x-2) = (2x-1)(2-x)

Тепер нерівність перетворена до такої: (2x-1)(2-x) ≥ 0

Розв'яжемо її методом інтервалів. Позначимо нулі функції в лівій частині нерівності (корені щойно розв'язаного рівняння) на числовій прямій та з'ясуємо знак цієї функції на кожному з проміжків, які утворяться (проставимо "+" або "-").

         -                          +                       -

¯¯¯¯¯¯¯¯¯¯¯¯¯¯¯(0,5)¯¯¯¯¯¯¯¯¯¯¯¯¯¯(2)¯¯¯¯¯¯¯¯¯¯¯¯¯¯¯

Множиною розв'язків буде проміжок, на якому функція набуває невід'ємних значень. Тобто x ∈ [0,5; 2]. Йому належать лише два цілих числа: 1 та 2.

Вас заинтересует