Ответы
Ответ дал:
1
Ответ:
Объяснение:
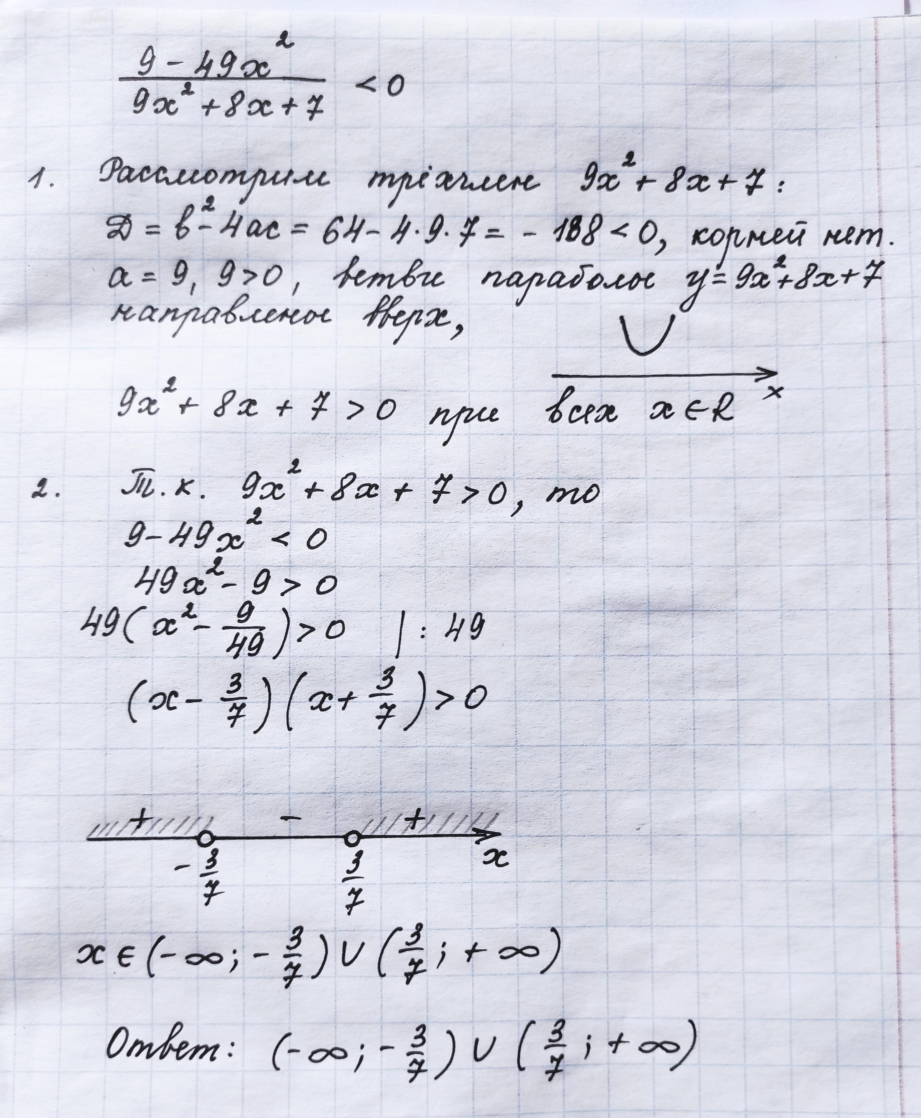
(9-49x²)/(9x²+8x+7)<0, где 9x²+8x+7≠0
Допустим:
9-49x²=0; 49x²=9; x²=9/49; x=±√(9/49); x₁=-3/7; x₂=3/7
Допустим:
9x²+8x+7=0; D=64-252=-188 - уравнение не имеет решений, D<0.
Возьмём для определения знака функции пробную точку на промежутке (-3/7; 3/7), например, 0:
(9-49·0²)/(9·0²+8·0+7)=9/7; 9/7>0 ⇒ в самом интервале ставим знак минус.
+ - +
--------------------°------------------------------------°----------------------------->x
-3/7 3/7
Ответ: x∈(-∞; -3/7)∪(3/7; +∞).
Ответ дал:
1
Ответ:
( - ∞ ; - 3/7) ∪ (3/7; + ∞)
Объяснение:
Решение в прикреплённом изображении.
Приложения:

Вас заинтересует
2 года назад
3 года назад
8 лет назад