• Предмет: Математика
  • Автор: Adamay006
  • Вопрос задан 8 лет назад

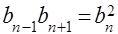
это соотношение является характеристическим:

1 для арифметической прогрессии

2 для геометрической прогрессии

3 для любой прогрессии

Какой верный ответ?

Приложения:

Ответы

Ответ дал: dsemeleva02
2

Ответ:

ответ 2

Пошаговое объяснение:

Соотношение геометрических параметров структуры (формы), например, отношение ее высоты к ширине

Вас заинтересует